|
|
BOXER HEART TESTING: AT LONG LAST THE TIDE MAY BE TURNING
From Boxer '99 pp 105 - 109 (2000)
by
DR. BRUCE M CATTANACH
In previous issues of this journal I have outlined the problems that beset all of us involved with Boxer heart testing, breeders, cardiologists, and me as the responsible geneticist. I have covered the ground again recently in letters to the cardiologists and to Breed Council, and this has all been published in Dog World, 3rd and 10th December issues. I will not repeat everything again here but the essence is that the heart murmur grading as a screen for the heart condition, aortic stenosis, has become progressively more severe over the near-10 years that the control scheme has been operating. This has meant breeders have found increasing difficulty in getting Grade 0 or Grade 1 scores with their dogs. In the breeding, progeny have obviously been graded more rigorously than their parents, and this has substantially confounded genetic analysis.
Table 1 shows just how great the shift in grading has been over the years. This makes depressing reading and the picture is offset only by the repeated reporting from the cardiologists that the incidence of clinically affected dogs has declined substantially. Although it would be nice to see some facts and figures, the consistency of the reports must be meaningful.
Table 1. Murmur Grades of Dogs Tested at Shows 1990 - 1998
|
|
GRADES |
|
Year |
0 |
1 |
2 |
3 |
4-6 |
Total Number |
|
1990 |
70% |
15% |
11% |
4% |
- |
145 |
|
1991 |
45% |
28% |
20% |
6% |
1% |
308 |
|
1992 |
41% |
25% |
28% |
5% |
1% |
362 |
|
1993 |
19% |
40% |
32% |
9% |
1% |
390 |
|
1994 |
24% |
34% |
32% |
8% |
2% |
504 |
|
1995 |
25% |
35% |
32% |
6% |
2% |
430 |
|
1996 |
19% |
43% |
32% |
7% |
1% |
393 |
|
1997 |
16% |
38% |
35% |
8% |
3% |
357 |
|
1998 |
13% |
37% |
40% |
7% |
3% |
363 |
|
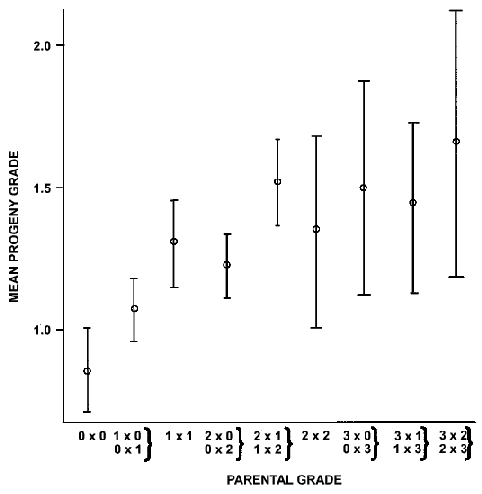
This article now presents some more compelling evidence of progress with Boxer aortic stenosis The first line of evidence is provided by the latest update of the breeding data (Fig. 1). This was illustrated in my report to Breed Council as published in Dog World, but I will explain the findings here in more detail. The figure shows a graph in which average progeny grades are plotted against the various types of parental crosses. The overall trend, which is statistically highly significant, is clear; as the grades of parents increase, so do the average grades of their progeny. Or, reversing this, the better the parents, the better the progeny. This has been stated before, but the Fig. 1 data now provide hard evidence. Selection against heart murmurs and, hence, against aortic stenosis does work. The condition clearly has a genetic basis. I should add that the Fig. 1 data include all the "blurred" results from previous years. The significance of the overall trend is therefore remarkable.
Legend to Fig. 1
Increase in average progeny score with increase in parental score.
To avoid the possibility of over-interpretation of the data I should also explain some of the detail in Fig. 1. While the circles indicate the average progeny scores for each type of parental mating, the "standard error" bars above and below each circle indicate the "wobble" around each point. The size of the standard error is affected by the numbers of animals and by the consistency within each group. This means that the wider the span between the bars, the less meaningful the score. This, the long span between the bars seen with 0 x 3 mating's is due to the relatively small number of progeny and a wide range in progeny scores. On the other hand, where there are more progeny and the range is more limited, as with 0 x 0 matings, the span is small. Taking this further, when the bars DO NOT OVERLAP each other on the horizontal sale, as is the case when 0 x 0 and 0 x 1 matings are compared, then the difference may be considered statistically significant; the difference is meaningful. By contrast, when there is an overlap, as is the case with the 1 x 1 and 0 x 2 matings, the difference is not significant; it is not meaningful.
***********
|
The second piece of news concerns the show testing results for 1999 (Table 2) which I have just been able to calculate. When these are compared with those for earlier years (Table 1), an improvement is clearly seen. Could this just be due to chance? To provide an independent assessment I have also checked the results of private heart testing in recent years. The 1999 results for this separate set of dogs again suggests an improvement (Table 2). It all looks good. If this is seen again next year, we will be able to claim with assurance that aortic stenosis in UK Boxers is truly on the decline.
| Table 2. Most recent results
|
Testing |
Grades |
|
Show |
0 |
1 |
2 |
3 |
4-6 |
Total |
|
1999* |
24% |
39% |
29% |
8% |
- |
277 |
|
| Private
|
0 |
1 |
2 |
3 |
4-6 |
Total |
|
1997 |
18% |
31% |
31% |
8% |
12% |
181 |
|
1998 |
16% |
39% |
36% |
8% |
1% |
129 |
|
1999* |
20% |
46% |
24% |
9% |
1% |
117 |
|
Two 1999 estimates; compare with pre-1999 results shown here and in Table 1
I could stop here on this high note but another problem with the control scheme is emerging. Perhaps it is my fault for focusing on the grading issues instead of continuing to promote heart testing at breeder level as I did in the beginning but, for whatever reason, it is clear that fewer dogs are now being heart tested. Looking at Table 2 it can be seen that only 277 dogs were tested at shows this year, as against 363 last year, and up to 400 to 500 at earlier times. Even the private testing level, also shown in Table 2, has dropped since 1997. Furthermore, it seems that some breeders are now ignoring the control scheme. At least there are significant dogs being used for stud that are not on the Heart List. So, what is going on? There have surely been many difficulties with the heart testing, but it would be very sad if UK Boxer breeders quit the .control scheme just as their efforts are beginning to payoff. And it would be demoralising for those other countries who have followed the UK lead.
Beyond this, it is apparent from the summary of Club Show testing results (Table 3) that there are areas of the country in which local breeders have no opportunity for testing. In some cases there may be good reasons for the lack of Club activity but, irrespective of these, the absence of any means of operating the control scheme in some areas of the country will act as a drag in reducing the incidence of aortic stenosis nationally.
Table 3. Numbers of dogs heart tested at individual Club shows
|
Club |
No dogs |
|
Club |
No. dogs |
|
BBC |
848 |
|
MancBC |
123 |
|
LHCBC |
368 |
|
MBC |
108 |
|
S-WBC |
364 |
|
TWTBC |
62 |
|
SBC |
308 |
|
MerBC |
60 |
|
EssexBC |
208 |
|
IBC |
42 |
|
AngBC |
142 |
|
BroadlandsTC |
41 |
|
SWalesBC |
136 |
|
NBC |
20 |
|
TrentBC |
126 |
|
CotsBC |
0 |
|
Turning to the future, it will be important to establish if the better 1999 results can be repeated, or even improved upon, in the millennium year. In the meantime there are some more specific, scientific questions that could be posed. With interested breeder involvement, these could readily be answered. The questions aim at a better understanding of aortic stenosis in Boxers and an evaluation of what might be possible with continued selective breeding.
The first question concerns the distribution of aortic stenosis within the breed. At this time we do not really know whether the whole breed is affected with aortic stenosis to some degree, or whether some Boxers are truly free of the disease. The answer makes a huge difference to what might be achieved by selective breeding. One way of resolving the issue would be to test a number of murmur-free dogs several times UNDER MORE RIGOROUS CONDITIONS (with pre-test exercise). Breeds that are free of aortic stenosis do not develop murmurs under such conditions, so would this be true for any Boxers? Would breeders be willing to have some of their murmur-free (Grade 0) dogs tested in this way - for research purposes only? The outcome would not affect current Heart List grading and could be done in confidence as wished.
The second question concerns the inheritance. This is poorly understood and the evidence available is limited, notably with Boxers. Should we find from the test suggested above that some Boxers never have heart murmurs, information on the inheritance of aortic stenosis could be obtained from the breeding performance of these dogs. Thus, if the disease has a polygenic inheritance, as in the case of hip dysplasia, these apparently normal dogs, if mated together, might still be capable of producing progeny that had heart murmurs. On the other hand, if aortic stenosis has a simple dominant inheritance, as has been claimed by some investigators, genuinely murmur-free Boxers should be free of the gene responsible for aortic stenosis. They would therefore be unable to produce progeny with any level of heart murmur. Were this true, clear lines could ultimately be established, and the disease could be dealt with far more effectively. This test could, of course, only be contemplated if test one identified genuinely murmur-free dogs.
There could be practical difficulties in implementing this second test, but it may be possible to circumvent some of these. It could be, for example, that such matings have already been done, and it then would only be necessary to check the progeny. Alternatively, if some top stud dogs qualified as consistently murmur-free, breeders might well be willing to take their murmur-free bitches to them as standard show breeding practice. Clearly, participation would demand substantial breeder commitment. Nevertheless, I put the question to see if anyone is interested?
I have asked the cardiologists for their support with the such investigations, and several of those most involved with Boxer heart testing have responded enthusiastically. In some cases they have even offered to conduct the testing without charge. I have also sought support of Breed Council in terms of endorsement, and perhaps also with costs. No doubt I will hear their response after their next meeting. But, really it is individual breeder help that is needed. Without this, nothing at all can be attempted, let alone achieved. So, as a start, who is willing to help with test one - the testing of Grade a animals after exercise?
There is one more piece of information I would like to obtain if possible. I am seeking litter size and puppy survival data from matings involving Boxers with the various grades of murmur. The object is to determine if prenatal and/or postnatal puppy losses might in some way be associated with aortic stenosis. This information should be simple to collect. So, if there is sufficient interest I will make up some forms for breeders to complete. All information would be held in confidence. Who is interested?
Subject to responses to the above, I think the time is rapidly approaching when I will have reached the limit on what I can usefully do with Boxer aortic stenosis. I would like to see how next year's results turn out, but, thereafter, I hope to interest one of the dog epidemiologists in. the 1 a-year collection of records. An epidemiological approach might tease out information that could be of use in future dealings with aortic stenosis, whether in Boxers or in other breeds.

:Home:
:About:
:Past Boxers:
:Current Boxers:
:Bobtail Boxers:
:Puppies:
:Genetics:
:Links:
:Guestbook:
:Email:
|
Site design by
Webpage World
|
 |